Physics 2000 Science Trek Quantum Atom

Frequency and Energy

The Bohr model and the Rutherford model give different predictions for the frequencies of light that can be emitted by a hydrogen atom. In the classical Rutherford picture, electromagnetic radiation is produced by orbiting electrons, and the frequency of light emitted by a particular electron is the same as the orbital frequency of that electron. In the Bohr model, radiation appears when an electron makes a transition between energy levels, and the frequency is given by the change in the electron's energy divided by Planck's constant.

Rutherford

Bohr


These two formulas look quite unrelated. However, in the following proof, I'll show that Rutherford's equation becomes a good approximation to Bohr's at high energy levels.

Based on Balmer's formula, Bohr assumed that the angular momentum L of an electron in a hydrogen atom had to satisfy the condition


where n is a positive integer. If the electron is in a circular orbit around the nucleus at the nth energy level, then its angular momentum is also described by the equation


where m is the electron's mass and v and r are its speed and orbital radius at this energy level. Therefore,


To find another relationship between r and v, we can apply Newton's second law, F= ma, and the coulomb force, to the electron--this has been done elsewhere. Using Bohr's formula for the angular momentum, it turns out that


or


Then, plugging into equation (3),


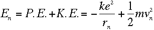
Now the total energy of an electron at a particular n can be calculated:


With the values obtained for r and v in (5) and (6), this can be simplified to


(B is related to the Rydberg constant, R.)

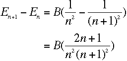
Given this value for E, it is clear that the difference between energy levels n+1 and n is


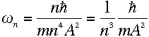
For large values of n, this energy difference approaches


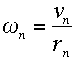
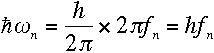
Now consider the orbital frequency of the electron. Its angular frequency at level n must be


or, plugging in the values for r and v from equations (5) and (6),


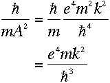
Using the value of A defined in equation (5),


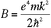
But


so


This bears a striking resemblance to the energy difference derived in equation (10). And remarkably,


for large values of n. What's remarkable about it? Well, recall that


This implies that


for large n, which makes Rutherford's and Bohr's formulas approximately equivalent. Therefore, the frequency of the emitted radiation approaches the electron's orbital frequency as n increases.



>